index.mw

SUBIECTE BACALAUREAT MATEMATICĂ 

APLICAȚII 

Este un test experiment în care fiecare exercițiu are cel puțin o aplicabilitate în viața cotidiană, domeniile de aplicabilitate foarte diverse: robotică, economie, chimie, topografie...etc. 

 

SUBIECT I 

1. Se cunoaște primul termen al progresiei aritmetice b[1] = 24; și rația r = .8; . Determinați al câtelea termen are valoarea 50 .  

APLICAȚIE: <1>  <2> 

2. Se consideră funcția f; -1; proc (real) options operator, arrow; real end proc , f(x) = `+`(`-`(`*`(10, `*`(`^`(x, 2)))), `*`(200, `*`(x))); . Determinați valoarea maximă pe care o poate lua funcția. 

APLICAȚIE: <1>  <2>  

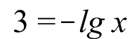
3. Rezolvați în mulțimea numerelor reale acuația 3 = `+`(`-`(`*`(lg, `*`(x)))); .  

APLICAȚIE: <1>  <2>   <3> 

4. Arătați câte submulțimi cu două elemente are mulțimea A = {0, 1, 2, 3, 4}; .  

APLICAȚIE: <1>  <2> 

5. Se consideră vectorii `#mover(mi(și `#mover(mi( unde m; este număr real . Determinați numărul real m; pentru care `*`(`#mover(mi( .  

APLICAȚIE: <1> 

5. Determinați distanța de la punctul C(4, 6) la dreapta definită de punctele A(2, 4) și B(10, 12) . 

APLICAȚIE: <1>  <2>  <3> 

6.Verificați dacă raza cercului înscris în triunghiul ABC de laturi AB=360, BC=338, AC=360, este mai mică decât 208 .  

APLICAȚIE: <1>  <2> 

 

SUBIECT II 

1. Se consideră matricele A = rtable(1 .. 2, 1 .. 2, [[`+`(`*`(`/`(1, 2), `*`(a))), -1], [-1, `+`(`/`(`*`(4), `*`(a)))]], subtype = Matrix); și B = rtable(1 .. 2, [2, 0], subtype = Vector[column]); .  

a) Arătați că det(`*`(A(2), `*`(`#mscripts(mi(, unde `#mscripts(mi( este transpusa lui B. 

b) Arătați că A(a); este inversabilă pentru orice număr real a . 

c) Determinați matricea `in`(X, M[2](real)); pentru care AX = B; . 

APLICAȚIE: <1>  <2> <3>  <4>  <5>  

2. Pe mulțimea numerelor reale se definește legea de compoziție `@`(x, y) = `+`(`-`(`*`(x, `*`(y))), x, y); .    

a) Demonstrați că `@`(x, y) = `+`(`-`((`+`(x, `-`(1)))(`+`(y, `-`(1)))), 1); , pentru orice numere reale x și y . 

b) Determinați simetricul elementului x=0.6 în raport cu legea de compoziție ''∘'' . 

c) Determinați numărul real x pentru care `@`(`^`(5, x), `^`(3, x)) = 1; .  

APLICAȚIE: <1>  <2> <3> 

2. Se consideră polinomul f = `+`(`*`(`^`(X, 3)), `-`(`*`(10, `*`(`^`(X, 2)))), mX, `-`(20)); , unde m este număr real.   

a) Determinați numărul real m știind că f e divizibil cu X-1 . 

b) Pentru m=1, aflați restul împărțirii polinomului f  la x+5  . 

c) Calculați f = `+`(`/`(1, `*`(x[1])), `/`(1, `*`(x[2])), `/`(1, `*`(x[3]))); unde x[1], x[2], x[3]; sunt rădăcinile polinomului f, iar m=29 . 

APLICAȚIE: <1>  <2> <3> <4> 

 

SUBIECT III 

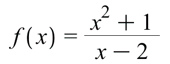
1. Se consideră funcția , f(x) = `/`(`*`(`+`(`*`(`^`(x, 2)), 1)), `*`(`+`(x, `-`(2)))); .  

a) Arătați că , `in`(x, 2, infinity); .  

b) Determinați ecuația asimptotei la infinity; la graficul funcției f .  

c) Demonstrați că `>=`(`/`(`*`(`+`(`*`(`^`(x, 2)), `*`(4, `*`(x)), 9)), `*`(`+`(x, `-`(2)))), `+`(`*`(2, `*`(sqrt(5))))); , pentru orice `in`(x, 2, infinity); .  

APLICAȚIE: <1>  <2>  

2. Se consideră funcția , f(x) = `+`(x, ln(`+`(x, 1))); .  

a) Arătați că int(`+`(f(x), `-`(ln(`+`(x, 1)))), x = 0 .. 1) = `/`(1, 2); .  

b) Calculați int(f(x), x = 0 .. 1); .  

c) Determinați numărul rațional m știind că int(`/`(`*`(f(x)), `*`(`+`(x, 1))), x = 0 .. `+`(e, `-`(1))) = `+`(e, `-`(m)); .  

APLICAȚIE: <1>